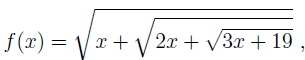
Εκφώνηση.
Λύση
Πρώτα παραγωγίζουμε την συνάρτηση με τους κανόνες παραγώγισης :
Στην συνέχεια στην παράγωγο συνάρτηση θέτουμε όπου x=3 :
Προσπαθησε τώρα εσύ;
Να υπολογίσετε την παράγωγο f ' (2)
Αν θέλεις να βλέπεις
καθημερινά νέα άρθρα μπορείς να το κάνεις ακολουθώντας μας στο Facebook, ή επισκέψου την ομάδα υποστήριξης μαθημάτων στο Facebookκαι Instagram

