Τετάρτη 21 Δεκεμβρίου 2022

Προτεινόμενη λυμένη άσκηση από την ΤΘ άλγεβρας α λυκείουι

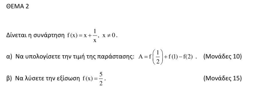
  ΕΚΦΏΝΗΣΗ








ΛΎΣΗ


Δεν υπάρχουν σχόλια:

Δημοσίευση σχολίου

Θεωρία και ασκήσεις στα στοιχεία του τριγώνου και στην ισότητα τριγώνων μαθηματικά α γ γυμνασίου

Ισότητα Τριγώνων - Διαδραστικό Φυλλάδιο 1. ΙΣΟΤΗΤΑ ΤΡΙΓΩΝΩΝ Μελέτησε τη θεωρία και πάτα ΥΠΟΒ...